痕量/低丰度微生物样本的微生物含量远低于粪便、土壤等常规样本,甚至接近检测极限,任何微小污染(如试剂残留、操作接触)都可能成为测序数据的“主导信号”。
针对这类样本,微基生物建立了专属的实验技术体系和数据分析流程,以远超行业平均水平的检测成功率,为科研工作者提供精准、可靠的检测服务。
一、痕量/低丰度微生物样本的常见类型
· 人体相关:血液、脑脊液、胎盘、胎儿组织、母乳、呼吸道分泌物等;
· 自然环境:极地超干旱土壤、深层地下沉积物、饮用水、高空大气等;
· 其他:植物种子、极端环境岩石、实验室洁净表面等。
二、痕量/低丰度微生物样本检测的难点
信号易被污染掩盖:目标微生物DNA/RNA占比极低,甚至低于检测仪器的基础识别阈值,少量外源污染即可覆盖真实信号。研究显示,低丰度微生物(相对丰度<1%)检测误差率可达60%以上,甚至会得出完全相反的微生物多样性结论。
样本价值极高且不可重复:极端环境样本、人体组织样本等的获取成本极高,部分样本无法重复采集。若因污染导致检测失败,会造成样本浪费,实验成本增加及研究周期延长。
数据解读易误判:传统去污染工具难以区分“既是污染又是样本原生微生物”的类群,且低生物量样本的真实信号与污染信号易重叠,导致误判或漏判。
低/高生物量环境微生物细胞数量对比图
三、权威共识指引:污染防控的核心逻辑
发布在《Nature Microbiology》上的权威共识“Guidelines forpreventing and reportingcontamination in low-biomassmicrobiome studies”明确指出,低生物量微生物组研究的核心挑战是“信号与噪声的博弈”,污染可能贯穿研究全流程,需从采样、实验、分析到报告建立全链条防控体系。
研究全流程污染来源与防控对照示意图
各环节污染路径:
1.采样阶段:目标样本可能接触外部污染物(如采样环境中的微生物),或与其他样本交叉污染;
2.DNA提取阶段:试剂、提取设备可能引入外部污染物,同时不同样本间可能发生交叉污染;
3.文库制备与测序阶段:文库试剂、测序平台可能引入污染,还可能出现“标签跳跃”导致的序列错配污染。
防控对照设计:每个环节均需设置对应对照,且对照需全程跟随样本处理流程,确保能精准定位污染发生的具体环节;阴性对照用于识别外源污染(如试剂、环境),阳性对照用于校准检测极限、监控交叉污染。
四、痕量微生物样本:牛乳样本检测的污染
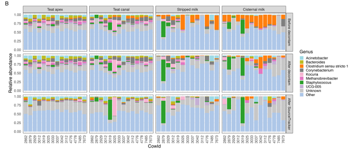
《The impact of kit, environment and sampling contamination on the observed microbiome of bovine milk》的研究以14头健康奶牛为对象,采集腺泡乳、剥离乳、乳头顶端、乳头管样本,同时设置空气空白、采样空白、提取空白等多重阴性对照,通过两种算法系统识别污染,其结果深刻揭示了低生物量样本检测的核心问题:
1.75%以上的测序数据为污染序列,主要来自DNA提取试剂盒、挤奶厅空气、乳头皮肤,而非牛乳本身;
2.不同类型样本污染路径存在差异:腺泡乳主要受试剂盒污染,剥离乳是“环境+采样+试剂盒”三重污染,乳头组织则主要被空气微生物污染;
3.去污染后,牛乳的真实优势微生物仅为葡萄球菌属、不动杆菌属,多样性远低于乳头皮肤,此前许多被认为是牛乳原生的微生物(如拟杆菌属、假单胞菌属)实为污染导致的“假阳性”。
牛乳样本测序数据污染占比示意图
研究显示75%以上的测序数据为污染序列,仅不足25%为牛乳原生微生物序列,直观印证了低生物量样本中污染信号对真实信号的严重掩盖,也凸显了精准去污染的必要性。
牛乳样本不同污染来源贡献占比图
研究显示不同类型样本的污染路径具有显著特异性:腺泡乳主要受DNA提取试剂盒污染(占比7.6%),剥离乳受空气(11.7%)、采样工具(5.1%)、试剂盒(4.7%)三重污染,乳头组织则以空气微生物污染为主(平均38.3%),为针对性设计污染防控方案提供了实证依据。
去污染前后牛乳微生物组多样性对比图
研究显示:去污染后,牛乳的优势微生物仅为葡萄球菌属(4.9%)、不动杆菌属(4.2%),多样性远低于乳头皮肤样本;此前许多被认为是牛乳原生的微生物(如拟杆菌属、假单胞菌属),实为污染导致的“假阳性”,说明有效的去污染流程是获取真实微生物组信息的关键。
牛乳样本优势微生物组成对比图
研究显示:去污染后,牛乳样本中葡萄球菌属、不动杆菌属为核心优势类群,而乳头皮肤样本中放线菌属、棒状杆菌属等占比更高,进一步印证了低生物量样本经污染去除后,其微生物组成与相邻环境样本存在显著差异,也体现了精准去污染对区分样本固有微生物组的重要意义。
五、微基生物服务优势:
检测成功率行业领先:针对血液、极地土壤等难处理样本,检测成功率远超行业平均水平;
结果精准可靠:多技术交叉验证,污染去除率≥95%,假阳性率显著低于传统方法;
个性化定制:根据样本类型、研究目标定制实验方案与分析流程;
全程技术支持:从样本采集指导、实验设计到数据解读,提供一对一专业服务。
微基生物始终专注于微生物检测技术的创新与突破,以专业技术、严格质控与个性化服务,为痕量微生物样本检测提供优质解决方案。欢迎科研工作者前来咨询了解,共同攻克低生物量样本研究的技术瓶颈!

微基生物 您自己的微生态研究团队|专注微生态研究与应用

